Звукоизоляция междуэтажных перекрытий
Звукоизоляция перекрытий - одна из самых сложных проблем в строительной физике. Через перекрытие меж этажами активно распространяется не только воздушный шум (разговоры и пение людей, работающая техника), но и ударный шум (звуки шагов, передвижение мебели и другие механические воздействия).
Звукоизоляция зданий регламентируется СНиП 23-03-2003 «Защита от шума» и СП 23-103-2003 «Проектирование звукоизоляции ограждающих конструкций жилых и общественных зданий» двумя показателями: Rw — индекс изоляции воздушного шума и Lnw — индекс приведенного уровня ударного шума.
Чем больше Rw и меньше Lnw, тем эффективнее звукоизоляция.
Правильным решением, вне зависимости от вида шума, является применение звукопоглощающих материалов, так как эффективная толщина пористых поглотителей шума должна быть не менее четверти длины поглощаемой звуковой волны.
Звукопоглощающие материалы, механически изолирующие шумы (также их называют – резонансные системы) работают по принципу «масса/пружина/масса», где функцию «масс» несут плита перекрытия и бетонная стяжка, а функцию «пружины» выполняет упругий материал пенополиэтилен Изолон ППЭ. Звукопоглощение этой конструкции основывается на том, что обе оболочки при возбуждении звуковых волн колеблются независимо относительно друг друга, следовательно, закон массы действует дважды.
Двухслойная конструкция в два раза эффективнее равной ей по толщине конструкции однослойной. Поскольку эффект двухслойной конструкции проявляется при частотах выше резонансной, то резонансною частоту необходимо сделать как можно ниже.
Снижение резонансной частоты возможно тремя способами:
-
Примененить упругую прослойку с более низким значением модуля упругости;
-
Повысить толщину упругой прослойки;
-
Увеличить массу оболочек.
Экономически выгодно использовать два первых способа.
Рекомендации по проектированию
Звукопоглощающую прокладку из пенополиэтилена Isolon или подложки EcoHeat под «плавающий пол» в конструкции полов проектируют следующими способами:
-
Сплошной слой под стяжку. Рекомендуются марки: Isolon 500 3008 и 3010, Isolon 300 3008 и 3010, подложки EcoHeat под «плавающий пол» COMFORT толщиной 8 мм или PREMIUM толщиной 10 мм.
При проектировании полов с основанием в виде монолитной плавающей стяжки необходимо предусматривать звукоизоляционную прокладку с перехлестом на стыках не менее 200мм. Изолон ППЭ-Л 3010 работает как упругая прокладка и как гидроизоляционный слой для таких элементов,как:
-
части междуэтажного перекрытия;
-
стена;
-
слой из звукоизоляционного материала Isolon 3010 или подложка EcoHeat под «плавающий пол» PREMIUM толщиной 10 мм ;
-
цементная стяжка;
-
подложка EcoHeat под напольные покрытия;
-
ламинированный паркет;
-
плинтус.
-
Прокладка в виде полос при укладке паркета на лаги. Рекомендуются марки: Isolon 500 1508, или Изолон Isolon 300 1508. Эта марка, плотностью 66 кг/м.куб, рекомендована потому, что материал укладывается в виде полос и на него действуют повышенные нагрузки.
Прокладки из Изолона в виде полос, шириной 100 — 200 мм, используют для экономии звукоизоляционного материала. Их располагают по контуру и по полю основания пола, параллельно одной из его сторон с шагом 300-700мм. вдоль осей лаг. Суммарная площадь, через которую передается нагрузка на прокладки из Изолона ППЭ, должна быть не меньше 20% площади пола. Прокладки используют для различных элементов:
-
части междуэтажного перекрытия;
- лаги;
-
фанера;
-
подложка EcoHeat под напольные покрытия;
-
паркет;
-
слой из звукоизоляционного материала Изолон ППЭ 1508;
-
плинтус;
-
стена.
При любом способе решения, пол на звукоизоляционном демпферном слое не должен иметь жестких связей (иначе – звуковых мостиков) с несущей частью перекрытий, стенами, трубами отопления и прочими конструкционными элементами здания, то есть должен быть плавающим. И чистовой пол и плавающая стяжка должны быть также отделены от стен и всех прочих конструкций зданий зазорами от 10 до 20мм, которые заполняются пенополиэтиленом Isolon, либо лентой с клеевым слоем (Изолонтейп).
Результаты испытаний в ОАО «СПбЗНИиПИ» по ГОСТ 27296-87
|
Индекс приведенного уровня ударного шума под междуэтажной плитой перекрытия
|
|
Нормативные требования для домов категории А
|
55 дБ
|
|
Плита перекрытия без звукоизоляционного слоя
|
80 дБ
|
|
Конструкция «плавающий пол» с звукоизоляционным слоем Изолон ППЭ-Л 3010
|
36 дБ
|
Частотная характеристика приведенного уровня ударного шума под плитой перекрытия и оценочная кривая:
Согласно СНиП 23-03-2003 значения индекса приведенного уровня ударного шума в конструкции «плавающий пол» с применением пенополиэтилена Изолон ППЭ-Л 3010 соответствуют требованиям к домам всех категорий: А (высоко-комфортные), Б (комфортные), В (предельно допустимые условия) соответственно.
Справочные показатели для проектирования
Динамический модуль упругости и относительное сжатие
|
|
Динамический модуль упругости (Ед) и относительное сжатие (ε)
ISOLON при нагрузке
|
|
|
2000 Па
|
5000 Па
|
|
|
Ед, МПа
|
ε Ед,
|
МПа
|
ε
|
|
Изолон ППЭ 3005
|
0,36
|
0,05
|
0,63
|
0,10
|
|
Изолон ППЭ-Л 3008
|
0,38
|
0,05
|
0,63
|
0,10
|
|
Изолон ППЭ-Л 3010
|
0,48
|
0,05
|
0,81
|
0,10
|
|
Изолон ППЭ НХ 3005
|
0,34
|
0,05
|
0,71
|
0,10
|
|
Изолон ППЭ НХ 3008
|
0,46
|
0,05
|
0,77
|
0,10
|
|
Изолон ППЭ НХ 3010
|
0,47
|
0,05
|
0,78
|
0,10
|
Индекс снижения приведенного уровня ударного шума под железобетонной плитой перекрытия с применением звукоизоляционного материала Изолон
|
Частота 1/3 октавных
полос, Гц
|
Снижение уровня ударного шума Δ L под железобетонной плитой перекрытия с применением звукоизоляционного материала Изолон ППЭ
|
|
ППЭ-Л 3005 (Isolon 500 3005)
|
ППЭ-Л 3008 (Isolon 500 3008)
|
ППЭ-Л 3010 (Isolon 500 3010)
|
ППЭ НХ 3005 (Isolon 300 3005)
|
ППЭ НХ 3008 (Isolon 300 3008)
|
ППЭ НХ 3010 (Isolon 300 3010)
|
|
100
|
4
|
14
|
14
|
7
|
11
|
16
|
|
125
|
10
|
22
|
22
|
5
|
18
|
24
|
|
160
|
18
|
26
|
28
|
17
|
28
|
29
|
|
200
|
26
|
30
|
30
|
19
|
33
|
35
|
|
250
|
24
|
24
|
24
|
24
|
25
|
25
|
|
315
|
30
|
31
|
30
|
27
|
31
|
31
|
|
400
|
31
|
29
|
30
|
29
|
31
|
33
|
|
500
|
35
|
36
|
34
|
34
|
36
|
35
|
|
630
|
41
|
41
|
42
|
42
|
43
|
42
|
|
800
|
44
|
48
|
47
|
46
|
47
|
48
|
|
1000
|
50
|
53
|
52
|
53
|
53
|
55
|
|
1250
|
50
|
50
|
51
|
50
|
53
|
53
|
|
1600
|
57
|
56
|
58
|
58
|
58
|
57
|
|
2000
|
54
|
54
|
54
|
54
|
54
|
55
|
|
2500
|
53
|
53
|
50
|
51
|
53
|
53
|
|
3150
|
56
|
56
|
56
|
58
|
56
|
56
|
|
Индекс снижения уровня ударного шума, Δ L
|
38
|
44
|
44
|
36
|
44
|
46
|
Пример расчета согласно СНиП 23-03-2003 и СП 23-103-2003
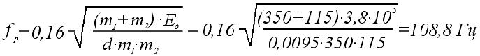
Необходимо рассчитать индекс изоляции воздушного и ударного шума междуэтажным перекрытием. Перекрытие: железобетонная несущая плита плотностью g = 2500 кг/м.куб. толщиной в 140мм, звукоизоляционный упругий слой Isolon 500 3010 (Изолон ППЭ-Л 3010) толщиной 10 мм, бетонная стяжка плотностью (g) 1800 кг/м.куб. толщиной в 60мм; ламинированный паркет толщиной 4мм. и плотностью 1750 кг/м.куб, уложенный на подложку EcoHeat под напольные покрытия CLASSIC, толщиной 2 мм. Полезная нагрузка - 2000 Па.
1. Определяем поверхностную плотность элементов перекрытия:
m1 = 2500 х 0,14 = 350 кг/м.куб. (плотность плиты поверхностная);
m2 = 1800 х 0,06(стяжка) + 0,066(подложка) + 7(ламинат) = 108 + 0,066 + 7 = 115 кг/м.кв. (поверхностная плотность выше звукоизоляционного слоя).
2. Определяем индекс изоляции воздушного шума,Rw0.
Rw0 = 37 lg m1 – 43 = 37 х lg350 – 43 = 88,7 - 43 ≈ 51 дБ.
Согласно характеристикам упругого слоя Изолона ППЭ-Л 3010:
d = d0
х (1-ε);
d = 0,01 х (1- 0,05) = 0,095м;

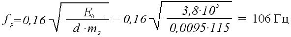
d0 – толщина звукоизоляционного слоя в не обжатом состоянии; ε - относительное сжатие материала звукоизоляционного слоя под нагрузкой; fp - частота резонанса конструкции; Ед- динамический модуль упругости звукоизоляционного слоя; d - толщина воздушного слоя в обжатом состоянии. Согласно СП 23-03-2003 - индекс изоляции воздушного шума равен 54 дБ (по интерполяции).
3. Определяем индекс снижения ударного шума. Согласно СНиП 23-03-2003 при нагрузке на звукоизоляционный слой равной 350 +115 = 465 кг/м.кв. индекс снижения ударного шума несущей плитой перекрытия Lnw0 = 78 дБ.

Индекс приведенного уровня ударного шума под междуэтажным перекрытием Lnw = 55 дБ.
Вывод: Значения индекса приведенного уровня ударного и индекса изоляции воздушного шумов соответствуют требованиям СНиП 23-03-2003 «Защита от шума и акустика» в домах всех категорий: А (высоко-комфортные), Б (комфортные), В (предельно допустимые условия).
Внимание! Данный пример не является типовым решением! При проектировании
необходимо произвести обязательный расчет значений индекса изоляции воздушного
шума Rw и индекса приведенного уровня ударного шума Lw!